La bilame est un capteur déformable en fonction d’une élévation de température. Simple et fiable, elle est utilisée dans de nombreuses applications comme les disjoncteurs, les thermostats, les thermomètres d’ambiance, les témoins d'alerte de température…
Une bilame permet l’ouverture et la fermeture d’un contact à des températures déterminées. Certaines applications ont permis la réalisation de voltmètres dits thermiques dont la relative précision permet une indication parfois suffisante.
![]() |
| ©
andré abadia Exemple de voltmètre thermique |
![]() |
| © andré abadia Sur ce voltmètre, la tension de la batterie est appliquée aux bornes d’une résistance chauffante qui entoure la bilame. La déformation est proportionnelle à la puissance électrique. |
La bilame est avantageusement exploitée dans le thermostat d’ambiance. Sont hystérésis est mise à profit afin d’obtenir une différence de température entre l’ouverture des contacts et leur fermeture.
Une bilame est fabriquée à partir de deux lames de métal à coefficient de dilatation différent. Elles peuvent être soudées entre elles sur toute leur surface, collées ou bien rivetées.
![]() |
| © DR Déformation d’une bilame constituée d’une couche d’invar situé en haut et d’une couche de laiton. L’épaisseur de chaque couche est identique. |
Le placage à chaud mais surtout à froid est actuellement la méthode d'assemblage la plus utilisée. Le procédé consiste à plaquer puis à laminer les lames de manière à obtenir une liaison mécanique suffisamment résistante.
Le fait de chauffer les lames provoque leur dilatation. Le métal à fort coefficient de dilatation provoque l’incurvation de la lame qui vient commander un contact pour un signal binaire, ou bien un mécanisme à aiguille pour un signal analogique.
Une bilame se courbe sous l’effet de la température, ce phénomène est appelé déflexion. Le choix des matériaux permet de déterminer la sensibilité de la bilame. La déflexion est maximale lorsque les matériaux ont une épaisseur quasi identique.
![]() |
| © DR Une bilame peut être en forme de spirale. Elle peut actionner l’ouverture d’un clapet ou bien piloter l’aiguille d’un thermomètre étalonné. |
Dans une bilame, le métal utilisé pour l’une des deux couches est de l’invar. L’invar est un alliage de fer et de nickel. C’est l’alliage qui possède le coefficient de dilatation le plus faible de tous les métaux industriels. Son coefficient de dilatation est 20 fois plus faible que celui du fer.
![]() |
| © DR Thermomètre utilisant une bilame en forme de spirale. |
Dans le cas d’une bilame l’invar est associé à un métal à fort coefficient de dilatation comme le laiton.
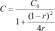
D = déflexion
C = coefficient de déflexion
T-T0
= variation de température
L =
longueur de la bilame
e =
épaisseur totale de la bilame
C0
= coefficient qui dépend de la dilatation
r =
rapport d’épaisseur entre les lames e1/e2
| www.abadia-autoeditions.fr |









